Trigonométrie

Fonctions

Statistique

Géométrie analytique plane

Deuxième degré

Géométrie dans l'espace

Probabilités

Algorithmique et programmation

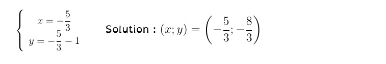
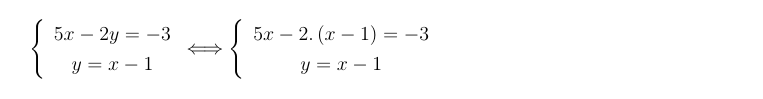
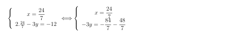
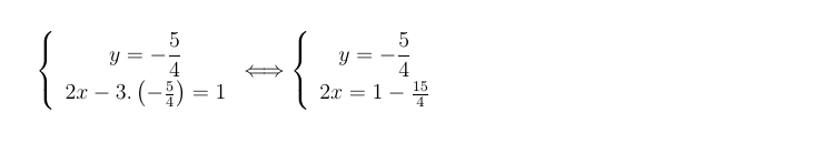
Systèmes Vecteurs Parabole Cercle --- Téléchargement des fichiers ggb
+
+
+
+
+
+
+
+
+
+
+
+
+
+
+
+
+
+
+
+
+
+
+
+
+
+
+
+
+
+
+
+
+