Trigonométrie

Fonctions

Statistique

Géométrie analytique plane

Deuxième degré

Géométrie dans l'espace

Probabilités

Algorithmique et programmation

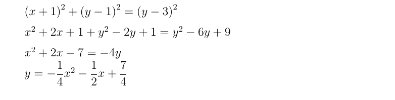
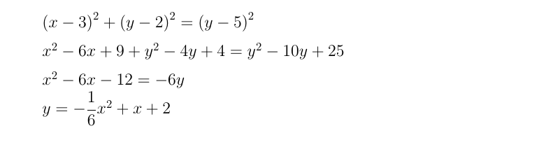
Systèmes Vecteurs Parabole Cercle
+
+
+
+
+
+
+
+
+
+
+
+